Métodos de prueba para varios indicadores clave de giroscopios de fibra óptica | Estabilidad de polarización cero, no linealidad del factor de escala y análisis de RWC
Explore métodos de prueba integrales para indicadores clave de giroscopios de fibra óptica, incluyendo estabilidad de polarización cero, no linealidad del factor de escala y coeficiente de recorrido aleatorio (RWC). Aprenda procedimientos paso a paso, fórmulas y requisitos de equipo para aplicaciones de navegación de precisión y control de actitud.
El giroscopio de fibra óptica se basa en el efecto Sagna y se utiliza ampliamente para medir la velocidad angular en navegación y control de actitud. Los indicadores clave suelen incluir la estabilidad del sesgo cero, el factor de escala, el recorrido aleatorio, el ancho de banda, el ruido y las características de temperatura, entre otros. Mediante la medición de estos indicadores, se puede evaluar exhaustivamente el rendimiento de los giroscopios de fibra óptica y optimizar el diseño del sistema y los algoritmos de compensación con base en estos datos.
Definición: La salida de velocidad angular equivalente promedio de un giroscopio de fibra óptica cuando no hay entrada de velocidad angular.
Equipo de prueba: dispositivo de referencia horizontal, dispositivo de registro de medición de salida de giroscopio de fibra óptica.
Método de prueba: Fije el giroscopio de fibra óptica sobre una referencia horizontal, con el eje de entrada (IRA) apuntando este-oeste. Registre los datos de salida durante al menos una hora después del encendido, con una frecuencia de muestreo que cumpla con el criterio de Nyquist (≥ 2 veces la frecuencia más alta de la señal).
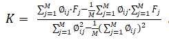
Fórmula de cálculo:
Donde K es el factor de escala,
es el valor de salida promedio.
Definición: El grado de dispersión de la salida de sesgo cero alrededor de la media refleja estabilidad a corto plazo.
Método de prueba: Igual que la prueba de sesgo, pero requiere un registro de datos a largo plazo (al menos 1 hora).
Fórmula de cálculo:
dónde:
: Estabilidad de polarización cero, medida en grados por hora (° ⁄ h)
:La salida de amplitud unilateral del giroscopio de fibra óptica
en el momento
.

Definición: Realizar múltiples pruebas de potencia para garantizar la consistencia del sesgo cero.
Método de prueba: Repita la prueba de polarización cero más de 6 veces, con la energía apagada y enfriando a temperatura ambiente a intervalos entre cada prueba.
Fórmula de cálculo:
Para cada dato de prueba, procéselo de acuerdo con la fórmula (1), calcule el sesgo cero y luego calcule la repetibilidad del sesgo cero de las pruebas Q de acuerdo con la siguiente fórmula.
Dónde,
:Sesgo cero de la prueba i-ésima;
:Sesgo cero
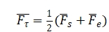
Definición: Deriva de sesgo cero causada por cambios de temperatura.
Método de prueba: Fije diferentes puntos de temperatura (que cubran el rango de temperatura de trabajo) dentro de la caja de control de temperatura y mantenga una temperatura constante durante 30 minutos en cada punto. Mida la desviación del cero en cada punto de temperatura y calcule la desviación con respecto a la desviación del cero a temperatura ambiente.
Fórmula de cálculo:
Los datos de prueba se procesan según la fórmula (1) y la polarización cero del giroscopio de fibra óptica a temperatura ambiente y para cada punto de temperatura de prueba se calcula por separado. La sensibilidad a la temperatura de polarización cero del giroscopio de fibra óptica se calcula según la siguiente fórmula:

:La i-ésima temperatura de prueba.
:temperatura ambiente

Definición: Relación proporcional lineal entre la señal de salida y la velocidad angular de entrada.
Equipo de prueba: plato giratorio de alta precisión (error<1/3 del índice del giroscopio probado)
Método de prueba: Seleccione ≥ 11 puntos de velocidad angular (incluida la velocidad angular de entrada máxima) de manera uniforme tanto en dirección de avance como de retroceso. Registre la salida media de cada punto y trace una línea recta mediante el método de mínimos cuadrados.
Fórmula de cálculo:
Dejar
sea la salida promedio del giroscopio de fibra óptica a la velocidad angular de entrada j, y el método de cálculo del factor de escala es el siguiente:
El modelo lineal para establecer la relación entrada-salida de la fibra óptica
El giroscopio es el siguiente:
Utilizando el método de mínimos cuadrados para calcular K, 

Donde ∅ es la velocidad de rotación del plato giratorio, medida en grados.
por segundo (° ⁄ s)
Definición: Muestra la desviación máxima relativa a la línea ajustada.
Fórmula de cálculo:
De acuerdo con el método anterior, la relación de entrada-salida de la fibra óptica
El giroscopio se representa ajustando una línea recta de la siguiente manera:
Calcular la desviación no lineal punto por punto de las características de salida de
El giroscopio de fibra óptica según la siguiente fórmula:
Calcule la linealidad del factor de escala según la siguiente fórmula, y
crear la curva de desviación no lineal de la salida del giroscopio de fibra óptica (la
El eje horizontal representa la velocidad angular de entrada y el eje vertical
representa la desviación no lineal)
Método de prueba: Pruebe el factor de escala en diferentes puntos de temperatura y calcule la desviación causada por los cambios de temperatura.
Fórmula de cálculo:
Los datos de prueba se procesan según el método de cálculo del factor de escala, y el factor de escala del giroscopio de fibra óptica a temperatura ambiente y para cada punto de temperatura de prueba se calcula por separado. La sensibilidad a la temperatura del factor de escala se calcula según la siguiente fórmula:
Definición: Error de velocidad angular integral causado por la salida de ruido blanco.
Método de prueba: Muestreo de alta frecuencia de tiempo corto (decenas de segundos), analizar la varianza de Allan.
Fórmula para calcular la varianza de Allan:
a)Hay n datos de muestra iniciales de valores de salida del giroscopio de fibra óptica obtenidos en el intervalo de tiempo de muestreo inicial
Según la fórmula de cálculo del sesgo cero del giroscopio, se calcula la velocidad angular de salida de cada giroscopio de fibra óptica para obtener los datos de muestra iniciales de la velocidad angular de salida, como se muestra en la siguiente fórmula:
b)Para datos continuos de n muestras iniciales, se agrupan k datos continuos y la longitud de tiempo de la matriz se establece en
, donde τ es igual a
, 2
, Calcula el valor promedio de los datos de la matriz para cada longitud de tiempo.
do)Encuentra la diferencia promedio entre dos matrices adyacentes:
d)Calcular la varianza de un conjunto de variables aleatorias:
…… (17)
Repita el proceso anterior con diferentes valores de
, y obtener una
Curva en el sistema de coordenadas logarítmicas dobles, denominada curva de varianza de Allan. Utilizando el modelo de varianza de Allan que se presenta a continuación, los coeficientes se obtienen mediante un ajuste por mínimos cuadrados y, a continuación, se calcula el coeficiente de caminata aleatoria (RWC):
La prueba de indicadores clave del giroscopio de fibra óptica conecta la investigación y el desarrollo con las aplicaciones prácticas. Al verificar cuantitativamente el rendimiento, garantizar la fiabilidad y cumplir con las normas, se garantiza su precisión, estabilidad y usabilidad en los campos de alta precisión militar y civil, a la vez que se sientan las bases para la innovación tecnológica y la optimización de costes.
Xml política de privacidad blog Mapa del sitio
Derechos de autor @ Micro-Magic Inc Reservados todos los derechos.
RED COMPATIBLE